您当前位置:周口大众创业网 >> 工作动态 >> 网站公告 >> 浏览文章

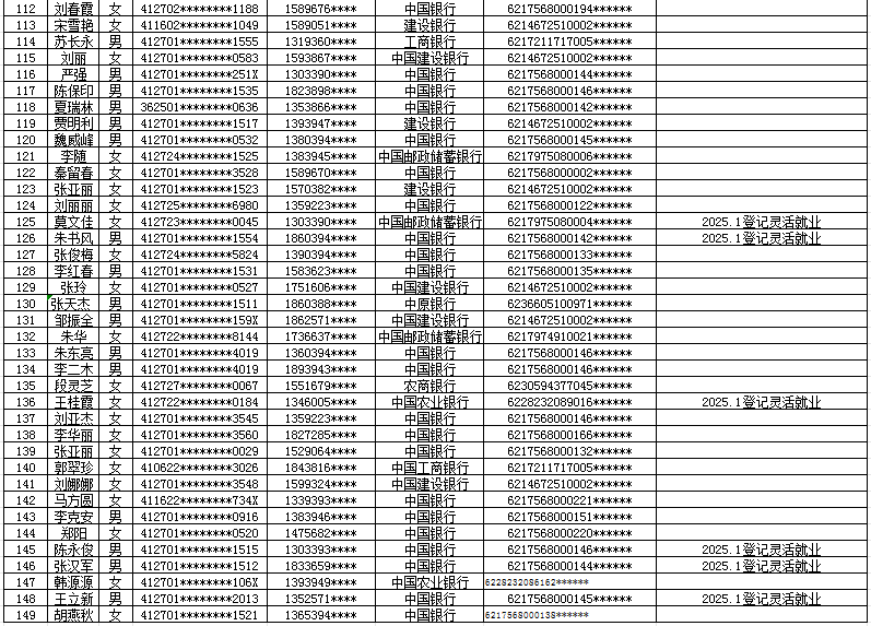
2025年1月-2025年6月灵活就业困难人员 社保补贴通过人员名单

时间:2025年09月24日 信息来源:本站原创 点击:

2025年1月-2025年6月灵活就业困难人员 社保补贴通过人员名单2025年1月-2025年6月灵活就业困难人员 社保补贴通过人员名单2025年1月-2025年6月灵活就业困难人员 社保补贴通过人员名单2025年1月-2025年6月灵活就业困难人员 社保补贴通过人员名单

上一篇:周口市现行相关就业创业政策清单
下一篇:没有了
Copyright © 1998 - 2015 周口市就业促进工作办公室. All Rights Reserved
周口市大众创业领导小组办公室 豫ICP备10009780号
地址:河南省周口市文明路北段,0394-8281867 zksjyb2012@136.com